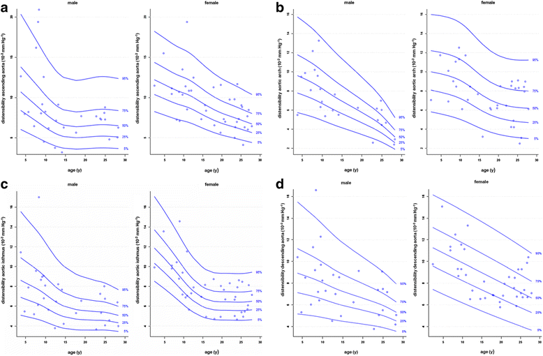
Figure 18
From: Normal values for cardiovascular magnetic resonance in adults and children

Reference percentiles for aortic distensibility measured at four different sites (ascending aorta [a], aortic arch [b], aortic isthmus [c] and descending aorta above the diaphragm [d]) on cine GRE images at maximal aortic distension according to reference [ 53 ].