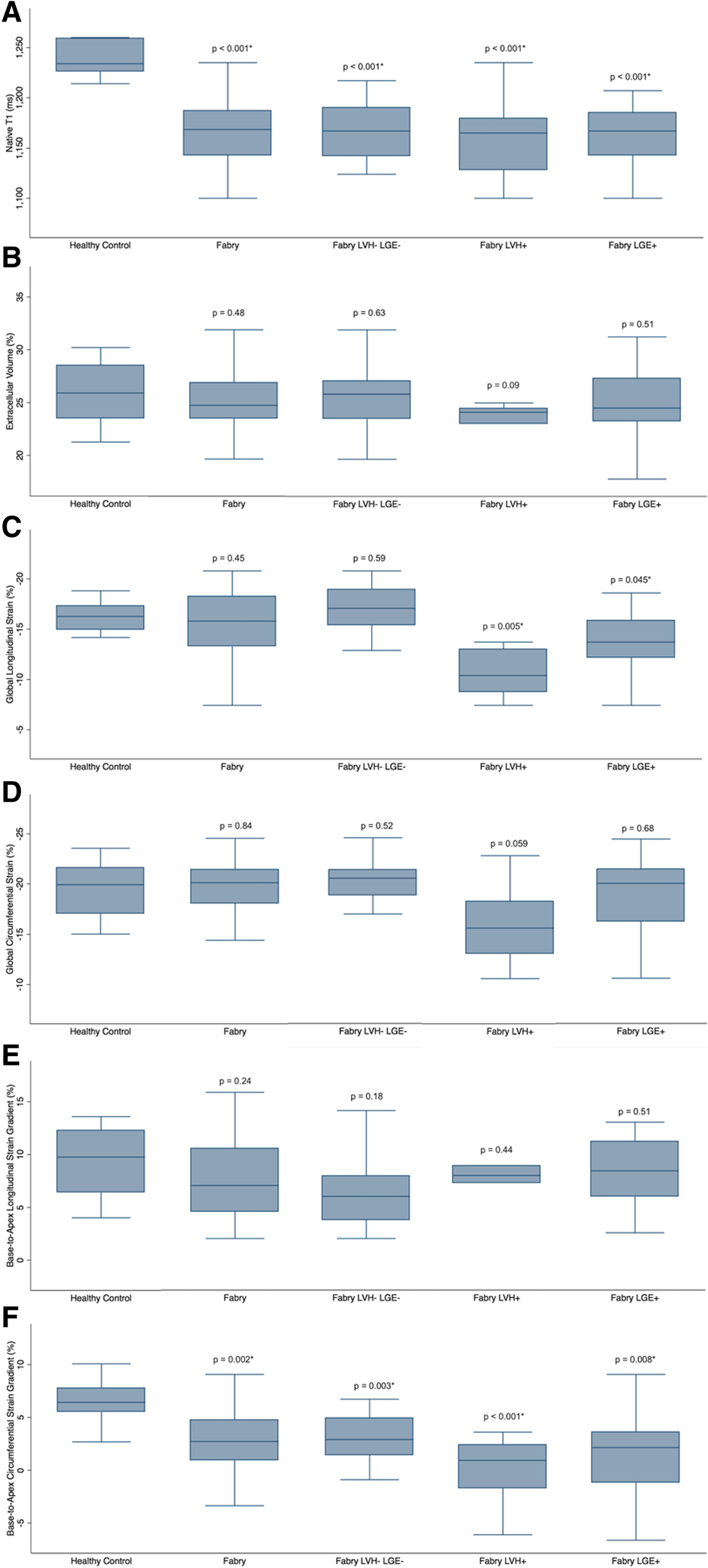
Fig. 2

Box plots comparing T1 mapping and strain values between healthy controls and Fabry disease patients and different sub-groups: all Fabry disease (Fabry) patients, Fabry patients without left ventricular hypertrophy (LVH) or late gadolinium enhancement (LGE) (LVH- LGE-), Fabry patients with LVH (LVH+) and Fabry patients with LGE (LGE+). All p-values are for comparisons between healthy controls and Fabry patient groups. Native T1 (a). Extracellular volume fraction (b). Global longitudinal strain (c). Global circumferential strain (d). Base-to-apex longitudinal strain gradient (e). Base-to-apex circumferential strain gradient (f)